Contoh Surat Perjanjian Sewa Tanah Pertanian
Ada banyak contoh surat perjanjian sewa tanah. Ijtihad pertentangan yurisdiksi dalam penyelesaian kasus.
Surat Perjanjian Sewa Menyewa Tanah Sawah Garapan 1 Pdf
Surat Perjanjian sendiri mencakup banyak hal salah satunya untuk Sewa Menyewa Tanah.
. SURAT PERJANJIAN SEWA TANAH Perjanjian ini di buat pada _____ di antara Mahanum AP Alip yang memilki Kad Pengenalan 800722-06-5048 beralamat di Kampung Sungai Perdak Batu 23 Jalan Sungai Manchis 28620 Karak Pahang yang akan disebut sebagai Pihak Pertama di dalam perjanjian ini. Agar tidak menyebabkan perselisihan di kemudian hari penting juga untuk membuat surat perjanjian bersama yang ditanda tangani diatas materai. Selanjutnya disebut sebagai pihak KEDUA penyewa Berdasarkan pernyataan di atas para pihak telah sepakat untuk membuat Surat Perjanjian Sewa Tanah dengan.
Kepala Dusun JODOKAN Bahwa kami benar-benar mempunyai tanah ganjaran dari pemerintah yang terletak di dusun nyangkring tepatnya di timur PTINDOFOOD SUKSES MAKMUR Kemudian disebut pihak ke I Pemilik. Data informasi yang harus dicantumkan antara lain adalah nama umur pekerjaan dan alamat. Identitas pihak kedua atau yang disebut sebagai penyewa.
Contoh surat perjanjian sewa menyewa rumah. Surat perjanjian dapat menjadi bukti akan adanya pihak-pihak yang setuju terkait pemakaian sementara tempat yang akan disewakan. SURAT PERJANJIAN SEWA TANAH.
Contoh Surat Perjanjian Sewa Tanah. Contoh surat perjanjian sewa menyewa tanah. Contoh surat perjanjian kerjasama bagi hasil usaha pertanian sebagai referensi membuat surat perjanjian kerjasama format resmi.
Surat Perjanjian Sewa Tanah tidak boleh dibuat sembarangan asal-asalan karena surat tersebut akan menjadi bukti antara kedua belah pihak agar tidak ada penyalahgunaan wewenang dalam perjanjian berlangsung. 20 Contoh Surat Perjanjian Kerjasama Jual Beli Tanah Hutang KontrakSewa Rumah DLL Yang Baik dan Benar Terupdate. Contoh Surat Perjanjian Bagi Hasil Tanah Pertanian Contoh surat perjanjian kerjasama bagi hasil pada beberapa artikel sebelumnya telah kita bahas mengenai macam macam surat perjanjian.
Mari simak pembahasan lengkap mengenai surat perjanjian sewa tanah di bawah ini. Fungsi Surat Perjanjian Sewa Tanah. Begitupula dengan penyewaan sawah dan lahan pertanian untuk digarap pembuatan surat perjanjian sewa tanah pertanian atau surat perjanjian tanah sawah tentu diperlukan.
Terkait font huruf ataupun tata teksnya tidak ada aturan baku yang mengatur. Di dalam contoh surat perjanjian tanah disewa terdapat beberapa hal penting seperti berikut ini. Yang bertanda tangan di bawah ini.
Akan tetapi di dalam surat perjanjian perlu mencantumkan komponen-komponen seperti. Berikut contoh sederhana Surat Perjanjian Sewa Tanah. Contoh surat perjanjian sewa menyewa tanah di malaysia have a graphic from the other contoh surat perjanjian sewa menyewa tanah di malaysia in addition it will include a picture of a kind that could be observed in the gallery of contoh surat.
Dengan adanya surat perjanjian sewa tanah pemilik dan penyewa jadi punya bukti hitam di atas kertas yang bisa dijadikan landasan hukum. Jalan Panjang Melintang 20 Jakarta Pusat. 4 surat perjanjian sewa menyewa tanah.
Hm hgb hp hpl hgu hukum agraria april 2 maret 18. Pihak-Pihak yang menerima pengoperan sewa berhak menyewa TANAH untuk sisa waktu sewa saja. Contoh Surat Perjanjian Sewa Tanah Surat perjanjian merupakan hal yang sangat penting jika sedang dalam proses sewa-menyewa baik itu sewa ruko rumah ataupun tanah.
Surat perjanjian sewa tanah merupakan bukti utama yang harus dimiliki saat melakukan proses sewa menyewa lahan. Contoh Surat Perjanjian Sewa Tanah. Contoh perjanjian kontrak tanah bermacam macam penggunaannya seperti misalnya terdapat surat tanah dan bangunan maka anda harus membuat surat perjanjian sewa.
Pihak-Pihak yang menerima pengoperan tetap diwajibkan memelihara TANAH yang disewanya sesuai Pasal 5 Perjanjian ini. PERJANJIAN SEWA MENYEWA TANAH. SURAT PERJANJIAN SEWA TANAH Kami yang bertandatangan di bawah ini.
Ketika melakukan kegiatan sewa menyewa pertama-tama pasti akan dibuat kesepakatan dan perjanjian antara 2 pihak yang terlibat. Contoh Surat Perjanjian Sewa Tanah. Identitas pihak pertama atau yang disebut sebagai pemilik.
Surat perjanjian sewa tanah umumnya dibuat menggunakan kertas A4 F4 atau folio. BERTARIKH ____ MAC 2009. The collection that consisting of chosen picture and the best amongst others.
Contoh Surat Perjanjian Sewa Menyewa Tanah Di Malaysia have a graphic from the otherContoh Surat Perjanjian Sewa Menyewa Tanah Di Malaysia In addition it will include a picture of a kind that could be observed in the gallery of Contoh Surat Perjanjian Sewa Menyewa Tanah Di Malaysia. Format Surat Perjanjian Sewa Tanah. Selanjutnya disebut sebagai pihak PERTAMA pemilik 2.
Sewa tanah bukan pembelian rumah standar ada beberapa pro dan kontra yang perlu Anda timbang sebelum menandatangani contoh surat perjanjian sewa tanah. SURAT PERJANJIAN SEWA TANAH SAWAH GANJARAN Yang bertanda tangan dibawah ini kami. Jangka waktu sewa-menyewa sesuai dengan yang ditentukan sesuai Pasal 1 Surat Perjanjian ini.
Surat Perjanjian adalah surat yang digunakan untuk mengatur tentang hak dan kewajibah antara dua orangpihak yang melakukan sebuah kesepakatan atas sebuah perkara dan bersifat mengikat. 38 Tahun Pekerjaan. Bersetuju dan berjanji untuk membenarkan PENYEWA TANAH menggunakan tanah seperti tersebut di atas untuk apa-apa tujuan pertanian berdasarkan syarat-syarat yang dinyatakan dibawah selama 2 tahun bermula daripada 2009 sehingga 2011.
Contoh Surat Perjanjian Sewa Tanah Untuk Pertanian
4 Surat Perjanjian Sewa Menyewa Tanah
Surat Perjanjian Sewa Tanah Pdf
Contoh Surat Perjanjian Sewa Tanah Untuk Pertanian
Doc Surat Perjanjian Sewa Tanah Sawah Ganjaran Budi Takioe Academia Edu
Contoh Surat Perjanjian Sewa Lahan Surat Riwayat Hidup Desain
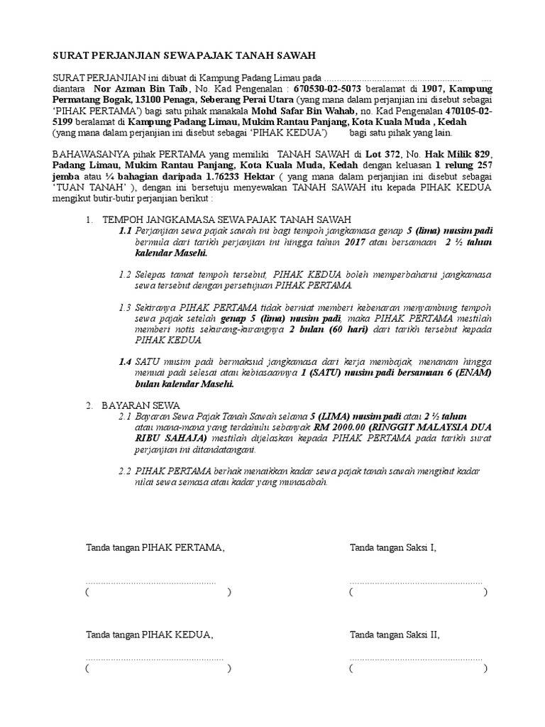
Surat Perjanjian Sewa Pajak Tanah Sawah 2016 Pdf

0 Response to "Contoh Surat Perjanjian Sewa Tanah Pertanian"
Post a Comment